Abstract
Background:
Oral targeted therapies (OTT) have transformed the care of patients with non-Hodgkin lymphoma (NHL) with significantly improved survival outcomes compared to chemo-immunotherapy. While data from clinical trials suggest improvement in global health and some symptom scores, there is limited data on health-related outcomes in older adults who are more vulnerable to treatment-related adverse effects. Geriatric assessments can predict chemotherapy-related toxicity in older adults and the presence of geriatric impairments is associated with inferior quality of life. The role of geriatric assessment (GA) in predicting health-related quality of life (HRQoL) and treatment toxicity in patients with NHL on OTT is unknown. In this prospective study, we describe the association between OTT and HRQoL in older adults with NHL. We further describe the relationship between baseline geriatric assessment and longitudinal HRQoL parameters.
Methods:
We included patients (pts) ≥70 years (yrs) of age with NHL, initiating or already receiving OTT. A GA, including assessment of function, depression, cognition, physical performance and comorbidities, was performed at baseline. Pts were followed monthly for the first 3 months (mos), then every 3 mos for 1 year. Quality of life (QoL) was measured at each visit using the European Organization for Research and Treatment of Cancer Quality of Life Questionnaires Core 30 (EORTC QLQ-C30) and EORTC QLQ - chronic lymphocytic leukemia 16 (EORTC QLQ-CLL16). The log QoL scores were modeled as a function of visit and mean scores at 6 months were compared to baseline using a linear mixed model. A change in score of >10 was considered clinically significant based on previous work.
Results:
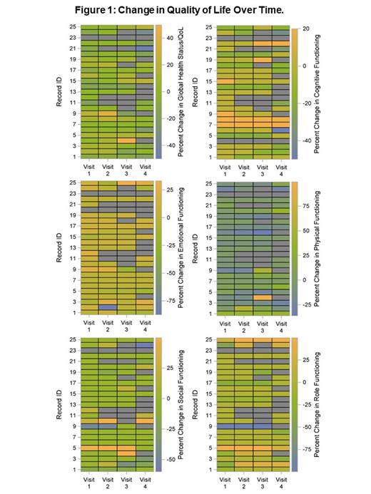
We enrolled 25 pts with a median age of 77 yrs (71-93 yrs). Median follow up was 6.3 mos (range, 2.7-8.8 mos). The most common diagnosis was chronic lymphocytic leukemia (n=21) followed by mantle cell lymphoma (n=3) and marginal zone lymphoma (n=1). Most pts (72%) were on OTT at study entry and the most frequently used OTTs were ibrutinib (n=17) and venetoclax (n=5). GA revealed the presence of a geriatric syndrome (GS) in more than 90% of pts, including cognitive impairment (28%), depression (24%), polypharmacy (92%) and recent falls (12%); 48% of pts had ≥2 GS. Nine pts (36%) had impaired 4-meter gait speed and/or timed-up-and-go (TUG); 20 pts (80%) had an adjusted CIRS-G score of ≥6. At baseline, dependence in independent activities of daily living (IADL) was associated with inferior global health status scores (69.1 vs 86.1, p=0.023) and physical functioning scores (66.7 vs 88.1, p=0.008). Similarly, an abnormal TUG (>10 seconds) was associated with a lower global health score (71.3 vs 86.1, p=0.037). Dependence in 2 or more activities of daily living (ADL) was also associated with lower baseline physical functioning scores (57.8 vs 88.0, p=0.003) and role functioning scores (61.1 vs 90.8, p=0.030). During the 6-month follow up, there was significant worsening of global health status (mean difference -5.4, p=0.024) and cognitive functioning scores (mean difference -9.6, p<0.001) in the entire cohort. There were no changes in other functional scales (physical, role, emotional and social functioning, fatigue scale, infection scale, social problems and future health) over time (Figure 1). Trends in symptom scores were mixed with improvement in some scores (pain, fatigue) and worsening of others (dyspnea, diarrhea, constipation), none of which met the predefined criteria for clinical relevance (absolute difference of >10). Presence of various geriatric impairments at baseline did not impact changes noted in global health, physical, emotional, social and role functioning over time. Interestingly, we found a greater improvement in symptom scores in patients with baseline impairments in IADL (fatigue, pain), ADL (pain) and a CIRS-G score of ≥6 (insomnia).
Conclusion:
The presence of geriatric syndromes is common in older adults with NHL with almost half of the patients in our cohort with ≥2 GS. Older adults with GS had lower baseline global health status and physical functioning scores but experienced greater improvement in symptoms scores and maintenance of longitudinal HRQoL than those without GS at baseline. Chronological age had no impact on baseline or longitudinal HRQoL, underscoring the need to incorporate GA into clinical practice rather than relying on age alone.
Wildes: Janssen: Consultancy; Carevive: Consultancy; Seattle Genetics: Consultancy; Sanofi: Consultancy. Torka: TG Therapeutics: Membership on an entity's Board of Directors or advisory committees.

This feature is available to Subscribers Only
Sign In or Create an Account Close Modal